写在前面
又有好长时间没有写过课程笔记了啊~
—— by JoyWonderful
并查集就是将一些集合融合,然后查询某个数字和某个数字是否在这个集合里(蒟蒻奇怪的自我理解,大概也没人看这句话)。
并查集有一个思想,一个元素的父亲为自己,这是初始化时会用到的。
并查集只有两种操作:
- 合并:将两个元素所在的集合合并;
- 查找:两个元素是否都在同一个集合里。
并查集的“集合”中有树的概念,每一个集合就像是树,父亲就像父结点(根节点)。
代码
初始化
一个元素的父亲为自己,所以可以使用一个数组为 fa(father),$fa_i$ 代表第 $i$ 个元素的父亲为 $fa$。所以,可以使用以下代码:
int fa[10003];
void init()
{
for(int i = 1; i <= n; i++) // n 代表有 n 个元素
{
fa[i] = i; // 开始时一个元素的父亲为自己
}
}
查询
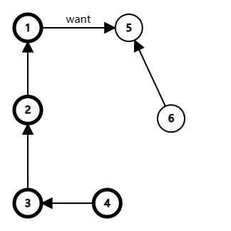
按照树来说,就是找到根节点。可以通过递归的方式。如果要判断两个数是否在同一个集合中,只要判断他们的根结点是否相同(find(a) == find(b))
int find(int num)
{
if(fa[num] == num) return fa[num];
else return find(fa[num]);
}
合并
其实就是找到两个元素的根节点,然后将其中的一个设置为另一个的父亲。
void merge(int a, int b)
{
fa[find(fa[a])] = find(fa[b]);
}
优化
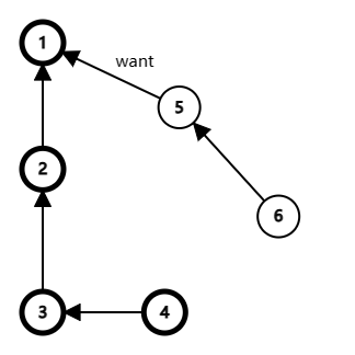
路径压缩:
在查询的时候,我们只想知道这个数的根结点。这样在查询时可以直接找到根结点。所以,可以在查询时把结点的父结点设为它的根结点:
int find(int num)
{
if(fa[num] != num) fa[num] = find(fa[num]); // 操作了原有结点指向根结点,路径压缩
return fa[num];
}
按秩合并(启发式合并):
每次查找时,深度(秩)影响查找的速度。当一个深度较大的集合合并到深度较小的集合中时,它的深度一定会加一,就像这样:
[1, 2, 3, 4] 这个集合深度为 4;[5, 6] 这个集合深度为 2;将 1 的父结点设为 5 合并后整个集合深度为 5。
深度加一,这不利于查找
当深度较小的集合合并到较大的集合中,深度才不会加深(也就保持在较深集合的深度):
两个集合同上。将 5 的父结点设为 1,深度还是 4。
查找集合 [1, 2, 3, 4] 中任意一个结点,花费时间不变。
所以,要记录集合的深度,合并时将深度较大的放“上面”。只有在两个集合深度相等时,才可以(不得不)加深。
代码是:
void merge(int a, int b)
{
if(rk[a] < rk[b]) fa[find(fa[a])] = find(fa[b]); // rk 记录集合的深度
else
{
fa[find(fa[b])] = find(fa[a]);
if(rk[a] == rk[b]) ++rk[a]; // 按秩合并
}
}
评测记录,最下面是优化前,最上面一条最快的是优化后。
例题
并查集最经典的就是亲戚问题。
比较完整的代码是:
#include <cstdio>
using namespace std;
int n, m;
const int T = 1e4 + 3;
int fa[T], rk[T]; // rk 记录集合深度(秩)
void init()
{
for(int i = 1; i <= n; i++)
{
fa[i] = i;
}
}
int find(int num)
{
if(fa[num] != num) fa[num] = find(fa[num]); // 操作了原有结点指向根结点,路径压缩
return fa[num];
}
void merge(int a, int b)
{
if(rk[a] < rk[b]) fa[find(fa[a])] = find(fa[b]);
else
{
fa[find(fa[b])] = find(fa[a]);
if(rk[a] == rk[b]) ++rk[a]; // 按秩合并
}
}
int main()
{
scanf("%d %d", &n, &m);
init();
for(int i = 1; i <= m; i++)
{
int z, x, y;
scanf("%d %d %d", &z, &x, &y);
if(z == 1) merge(x, y);
else
{
if(find(x) == find(y)) printf("Y\n");
else printf("N\n");
}
}
return 0;
}

