树也是一种数据结构,它是非线性数据结构,它能很好地描述一个数据集合中的分支和层次,是一个比较重要的课题,以后的搜索和竞赛都有可能要用到它。树形结构的应用非常广泛,什么索引、语法结构。虽说概念比较繁琐 老师讲了一个小时。有点让人头疼(我咕了好多篇笔记了)。
树的概念
前面
前置芝士,简单说一下这些奇怪的名称:
- 树中的每一个元素称为结点 node。
- 两个结点之间的线称为边 edge。
- 通过几条边,这几条边组成路径。
树的结点一般画为圆圈,树若画出来也就是几个结点(圆)和几条边(线)组成的图,比较形象化,实际的树的储存方式是通过链表中的数据域将一个个结点(元素)连接起来,比较麻烦,后面再说。
还有一个概念:树的边的个数比树的结点的个数少一。也就是说,假设树的结点的个数为 $n$,则树的边的个数为 $n-1$。
判断一张图是否为树
树最重要的就是每两个结点之间有且只有一条路径可以到达,也就是说,不可以形成环,不可以在一个树中无法到达所有结点。例如,下面就是一个树:
下面两张图不是树,他们分别违反了“不可以形成环”、“不可以在一个树中无法到达所有结点”。

更多的概念
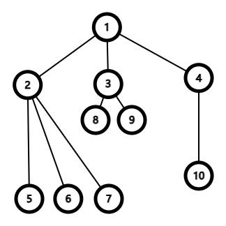
首先放一张图:
以这张图为例,来说下面的概念吧。
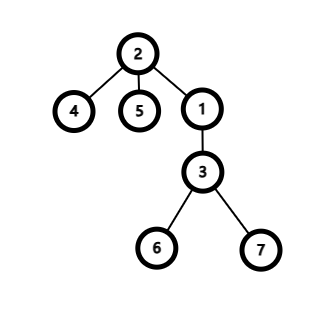
根结点 root:根结点通常在最上方,是所有子结点的父结点。在上面的那张图中,结点 1 就是整张图的根结点。在上面的图中,根结点可以更换,也不会影响到什么,但是根结点一变就会让树形态发生变化(假如结点 2 是整个树的根结点,那么树会变下面的图)。一个树是必须要有根结点的,根结点只有一个。
父结点 parent(双亲结点) 子结点 child(孩子结点):一个结点的分支就是那个结点的子结点,相反那个结点是分支结点的父结点。子结点通过父结点到达。例如结点 4 5 是结点 2 的子结点,结点 3 是结点 6 7 的父结点。
兄弟结点:同一个父结点的子结点称为兄弟结点。例如结点 4 5 互为兄弟结点,6 7 互为兄弟结点。
度:树的度就是一个结点子结点的个数。例如结点 2 的度就是 2,因为它只有两个子结点。
深度:从根结点到当前结点的层数,根结点的深度是 1。例如,结点 1 深度为 1,结点 2 3 深度为 2,结点 4 5 6 7 深度为 3。
叶子结点:一个结点的度为 0,就叫做叶子结点。例如结点 4 5 6 7 都是叶子结点。
n 叉树:在树中,这个数是多少叉看度最多的结点,例如这个树就是二叉树(也比较特殊,后面讲)。
子树:假设将树中任意一个度不为 0 的结点与它的父结点切断它们之间的边,那么断开的那一部分又能成为一个新的树,称为子树。例如结点 2 4 5 可以组成一个子树。
还有一大堆子子孙孙祖先的什么的,懒得写了。说真的,感觉说多了意义不大。
二叉树的概念
n 叉树中,又出现了一个二叉树 Binary Tree 这么个奇怪的概念。什么左子树右孩子什么的不记了,就讲三个我认为比较重要的。
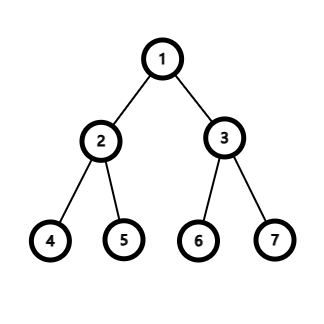
完美二叉树:
也叫做满二叉树。简单来说就是一个深度为 $n$ 的二叉树,拥有 $2^n - 1$ 个结点。看着的话就是若再增加一个结点使其继续为二叉树,深度就必须要加一了。刚才的示例图就是一个完美二叉树。
完全二叉树:
完全二叉树的叶子结点可以不是满的,但是剩下的叶子结点必须都在图的左边。例如那张示例图若将结点 7 去掉,它就只是一个完全二叉树。
完满二叉树:
完满二叉树的结点除了叶子结点以外其他结点的度都必须是 2。示例图若将结点 4 5 去掉,它就只是一个完满二叉树。
注意:
这三个概念极易弄混淆,稍不注意就忘了。完美二叉树一定也是完全二叉树和完满二叉树,但完满二叉树不一定是完全二叉树和完美二叉树。(别说他晕,我也晕了)
树的储存
一大堆基础概念,已经够呛了(悲)。学到树的储存已经开始逐渐迷惑。。。
一般来说,树也是不太可能用真正的指针链表来储存,毕竟太难写了,内存限制一般比时间限制够用一些,就用数组模拟链表。链表就是要关心指针域,下面就是一大堆奇奇怪怪的方法。
可能用不到的
备注:
一般来说,这些方法用不太到,要么炸时间要么炸空间要么难实现。所以就按这种奇特的分类方法分类了,反正感觉用不到。这句话也兼下面。
父亲表示法:顾名思义,指针域指向父结点。
孩子表示法:指针域指向子结点。
父亲孩子表示法:双向链表结构,也没啥用。
上述缺点:
很明显,父亲法若寻找一个子结点可能要遍历整个表,很耗时间;孩子法度一大肯定爆内存,因为将每个子结点都存了下来;父亲孩子更糟糕,内存更大了,没有意义。
可能会用到的
孩子兄弟表示法:适用于二叉树,也是一个双链表结构,一个结点连接其子结点和兄弟结点。
邻接矩阵表示法:见这里。
邻接表表示法:也看上面。
假设根结点为 2 时的情况:
